Dijkstra算法,中文翻译为迪杰斯特拉算法,是在带权有向图G = (V, W) (V是节点的集合,W是边上权值的集合,在集合W中,不直接相连的节点间的距离标记为无穷大)中求某个节点到其余节点之间最短路径的经典算法。该算法的核心思想是将图中所有的节点划分为2个集合,集合S包含已经找到最短路径的节点,集合U包含尚未找到最短路径的节点的距离(初始值全部设定为无穷大)。从某一点v开始采用广度优先遍历思想对图进行遍历,每找到一个节点的最短路径,就将该节点从集合U中移除,并加入到集合S中,直到最后U变为空集,S包含图中所有的节点到出发点的最小距离。在加入的过程中,总保持从源点v到S中各顶点的最短路径长度不大于从源点v到U中任何顶点的最短路径长度。
Dijkstra算法的过程:
- 选取某个节点v作为出发点,从出发点到出发点距离为0,即找到最小路径。将该出发点从集合U中移除并加入到集合S中。
- 在集合W中查看出发点v到集合U中各个节点的距离。找出距离最小的节点k(到k的最短路径找到),将k从集合U中移除并加入到集合S中。
- 以k作为中间点,在W中查看从k到U中节点m的距离,如果m在W中的值小于m在U中的值(k和m直接连接),将m在W中的值与k在U中的值相加(从v出发经过k到达m的距离),再将相加结果与W中v到m的值(v不经过中间点到m的距离)对比大小,选取较小的值跟新k在U中的数据。
- 在U中找出数值最小的节点n,该值即为v到n的最短路径。将n从集合U中移除并加入到集合S中。把n作为中间点重复第3、4步,直到U中所有的节点都移动到S中。
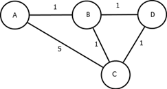
图1
Dijkstra算法的手算方法
如图1,从节点A开始。首先我们创建一个表,用该表记录每次运算的值。该表表头代表了集合U中包含的节点(未找出最短路径节点:A、B、C、D)。第2行将各节点的距离,初始化为无穷大,用INF表示。
|
A |
B |
C |
D |
|
|
INF |
INF |
INF |
INF |
点A是出发点,自身到自身的路径最短,为0,即A到A的最短路径找到。在A列的第2行输入0,并用下划线标出,表明将A从U中移除。在表的第2行最左侧写A,表示将A加入集合S。
|
A |
B |
C |
D |
|
|
A |
0 |
INF |
INF |
INF |
建立表格第3行。此时集合U中包含{B、C、D},由图可知A->B的距离为1(查询集合W),更新B列的数值,写入第3行。由图可知A->C的距离为5,更新B列的数值,写入第3行。由图可知A->D不可直达,标记为INF。在表第3行中对集合U中所拥有的元素{1,5,INF}求最小值,得到B,此时B列第3行数据即为A->B的最小路径。对B列第3行数据加下划线标识出,即将B移出集合U。同时在第3行最左端写B,即将B加入集合S中。
|
A |
B |
C |
D |
|
|
A |
0 |
INF |
INF |
INF |
|
B |
0 |
1 |
5 |
INF |
建立表格第4行。此时集合U中包含{C、D},节点B为中间点。由图可知B->C的距离为1,而A->B的距离保存在表B列中,是1,则A->B->C的距离为1+1=2。由表C列第3行数据可知目前到达C的距离为5(A直接到达C)。求两条路径的最小值min(5,1+1)=2;更新C列数据,将2写入C列第4行。由图可知B->D点的距离为1,则A->B->D的距离为1+1=2,而A->D不可直接抵达,故而取值无穷大INF(该值记录在集合W中,此时该值等于表中D列数据)。求两条路径的最小值min(INF,1+1)=2。更行D列数据,将2写入到D列第4行。对集合U中的数据取最小值,C和D均为2,任选一个,该节点到A的最短距离即被计算出来。比如选C。对C进行标记。
|
A |
B |
C |
D |
|
|
A |
0 |
INF |
INF |
INF |
|
B |
0 |
1 |
5 |
INF |
|
C |
0 |
1 |
2 |
2 |
重复上面的操作,建立表格第5行。此时集合U中只包含{D},节点C为中间点。由图可知C->D的距离为1。而A->C的最短距离已经求出,在上表中C列第4行,为2(经过节点B)。故A->B->C->D的距离为2+1=3。表中D列第4行记录到达D点的最小路径为2(通过B点),求两条路径的最小值min(2,2+1)=2。即D点的最小路径为2,将2写入D列第5行并对D列第5行进行标记。此时集合U为空集,集合S中的元素为{A、B、C、D},计算完毕。表中第5行所记录数据即为A点到各点的最小路径值。
|
A |
B |
C |
D |
|
|
A |
0 |
INF |
INF |
INF |
|
B |
0 |
1 |
5 |
INF |
|
C |
0 |
1 |
2 |
2 |
|
D |
0 |
1 |
2 |
2 |
具体路径(经过的节点)可以通过回溯法求出。在最后一张表中找到要求点所在的列,从下向上回溯,当数值发生变化时,跳转到所在行所对应的S集合中的元素所在的列,记录下该点,然后继续回溯,直到到达出发点。
如求到达C点的具体路径,从C列第5行向上回溯,到达第3行时数值发生变化,第3行对应为S集合中的B,则从B列第3行向上回溯,到达B列第2行,数值发生变化,第2行所对应的集合S中的元素为A,是起点,回溯完成。具体路径即为A->B->C。
本思路所对应的C#源代码请参看《Dijkstra算法C#演示程序》一文。